散熱涂料:在LED照明系統中充分利用散熱涂料
在LED照明系統中充分利用散熱涂料
Jean-Claude Auger ,Mark Taylor
開發了一種有助于冷卻電子設備的散熱涂料。一般,涂料不管何種顏色都具有比較高的輻射率(輻射效率)。本文討論了散熱涂料配方及散熱涂料效率最高的條件。
家用電器中使用的電子設備必須在最適宜的溫度范圍內運行,溫度下限和上限分別用Tm和TM表示,對于商用半導體產品來說,適宜的溫度范圍約為0 °C~70 °C。如果超過以上范圍,則可能導致不可彌補的損壞。
當打開設備時,隨著電力的消耗,就會通過焦耳效應產生熱量。為了使運行溫度T0低于TM,需要使用自然和/或強制冷卻系統,如散熱器、風扇或泵(見圖1)。同時,在較低的運行溫度T0下,設備性能更好,使用壽命更長。
一些涂料制造商通過下列途徑尋找商機:通過在配件上涂裝散熱涂料,降低運行溫度(見圖1)。
LED(發光二極管)照明系統就可以通過使用散熱涂料降低運行溫度,一些品牌已經在推廣使用一些專門設計的涂料的好處,在設備的散熱器上涂裝此類涂料后,可提高設備性能。
然而,因為使用這類涂料會增加生產成本,從而提高銷售價格,所以無論是對涂料還是電子設備制造商來說,最重要的是要了解散熱性能、原材料含量和成本與所使用系統之間的關系,從而做出明智決策。本文旨在對這些不同的問題進行說明。
理論:基本物理參數
熱量[代表符號為Q,單位為焦耳(J)]表示不做功時系統內部能量的變化特征,溫度T[單位為開爾文(K)]表示系統中所含的熱量。熱通量和耗熱率Ø[單位為瓦特(W)]指單位時間內從表面轉移出的熱量或轉移至表面的熱量。熱通量密度φ(單位為W·m-2)表示在單位時間內單位面積上從表面轉移出的熱量或轉移至表面的熱量。當表面積S上的熱通量密度恒定時,Øφ = φS。最后,熱阻R(單位為K·W-1)表示介質對熱流的阻抗。
3種熱傳播機制概述
根據介質的物理狀態,熱量可通過3種不同的機制進行傳播:熱傳導、熱對流與熱輻射(散熱)。
熱傳導 指固體材料中未發生物質傳遞的情況下的傳熱現象。熱傳導采用介質的導熱系數λ(W·m-1·K-1)來表征,導熱系數與溫度有關,表示在1k/m的溫度梯度下,單位時間內單位表面上的傳熱量。根據傅里葉定律,空間中特定點的熱通量與局部溫度梯度成正比。材料中聲子和/或自由電子的傳播是熱傳導的主要原因。
熱對流 指流體(液體或氣體)中通過物質運動來傳熱的現象。固體表面與流體之間的對流傳熱采用介質的熱對流系數hc(W·m-2·K-1)來表征,該系數與流體的性質、流體的速度和溫度以及固體/流體界面的結構有關。根據牛頓的唯象理論,熱通量與表面和流體之間的溫差成正比。自然對流的唯一決定因素為熱交換引起的流體密度的局部變化。 熱輻射 指通過電磁輻射的發射來傳熱的現象。
熱輻射采用材料的熱輻射系數ε表征,熱輻射系數為無量綱數,0 ≤ε≤1[根據理想的輻射體(黑體)確定]。熱輻射系數值與熱輻射的波長、傳播方向以及溫度有關。
通常,可采用更簡單的"彌散灰色體"概念,即假設熱輻射系數與(a)波長和(b)方向無關(完全彌散)。在這種情況下,可采用唯象熱輻射系數hr(W·m-2·K-1)。
簡單、穩態熱傳播的示例
正如教科書中所述,熱傳播理論是一種復雜的物理現象[1]。 它的一般形式是以解析無解的積分微分方程為基礎,如果用數 字處理,需要巨大的計算資源。因此,只有在穩態時的簡單情況 (如一維系統)下才能進行解析處理。
表1顯示了在所述情況下每種傳熱機制的耗熱率和熱阻的解析 表達式。其中,變量z 為固體長度。
通過Ør d= SF σ(T 1 4 -T 2 4),可得出在溫度T 1和T 2下兩種灰色體之 間的輻射通量的平衡情況,其中,F 是形狀系數,和系統的幾何 形狀和材料的輻射系數有關;σ為斯特凡-波茲曼常數(σ= 5.6704 ×10-8W·m-2·K-4)。當只考慮較熱物體的貢獻時,可得出:

簡單模型下熱傳播的總結
所研究的一維簡單模型系統(見圖2)包含一個熱源,該熱源 的動力為P 、溫度為T S、表面積為S ´。其上半部與一組恒定表面積 S的L固體層連接。用厚度zl 和導熱系數λl ,對每一個第一層進行表 征。
固體層的上半部和熱源的下半部都與空氣直接接觸。遠離界 面的溫度與環境溫度T A相等。
切斷熱源電源時,即P =0,系統每個組件的溫度均為T A。打開 電源時,即P >0,TS增大(非穩態),直到焦耳效應產生熱量的散 熱速度等于其(穩態)生熱的速度。熱量通過兩種途徑同時從熱 源傳播至周圍介質:
> 通過熱源/空氣的界面,同時以輻射和對流方式向下傳播;
> 首先在不同的固體層中進行熱傳導,然后在頂層/空氣的界 面處同時以輻射和對流方式向上傳播。
傳熱類似于電的傳輸
基于熱傳導與電流傳導的相似性,該模型系統可通過總熱 阻Re T 的傳熱回路來表示,且由與向上和向下回路對應的兩個分支 (1)和(2)組成(參見圖3)。其等效熱阻分別標注為R 1e 和R 2 e (參見圖 4)。
根據熱傳播定律,第二和第一分支中的等效熱阻可表示為:

式中,R S cv和R S rd表示熱源/空氣界面處的對流和輻射熱阻,R l cd 為第l層的熱阻,R L cv和R L rd為第L 層/空氣界面的對流和輻射熱阻(見 圖4)。
同時,由于熱量可在兩個分支中同時傳播,R Te 表示為:

最后,熱源的溫度可用RTe ,P 和T A表示:

因此,顯然在電源P 一定的情況下,要降低工作溫度,就必須 降低系統的總熱阻。
實際考慮因素:最佳傳播途徑
因為熱優先在熱阻最小的方向上流動,因此可以考慮兩種極 端的情況。
> 當R e 1 << R e 2,熱量主要流過分支1。存在自然對流時,就會發 生這種情況。所有的固體層都是良好的熱導體,且S >> S ´。
> 當R e 1 >> Re 2時,熱量主要流過分支2。存在強制對流時,就會 發生這種情況,且假設至少有一個固體層具有高度隔熱性。
假設有一個單固體層(L =1),熱源至周邊氣體的熱通量守 恒,那么可通過以下公式計算出表面溫度T 1:

因此,當
,此時,熱源將溫度傳導到表面。當
,此時,外部介質控制表面溫度。最后,當C =1,表 面溫度等于溫度T S和T A的平均值(參見圖5)。
根據系統的配置和幾何尺寸,自然對流和強制對流的系數范 圍分別約
。
圖6展示了不同h C和ε 值時的對流熱通量和輻射熱通量隨表面 溫度T L的變化情況。表明在只存在自然對流的情況下,輻射熱傳 遞的數量級才和對流熱傳遞的數量級一樣。
優化散熱涂料的熱傳導性
要增加標準涂料的熱傳導性,就需要將常規原料部分替換為 具有更高導熱性的特殊聚合物和/ 或填料。那么,配方設計將面 臨以下困難:(a)確定價格合理、無需太多健康和安全操作預防 措施的高導熱性填料;(b)以最少量的填料達到高導熱材料的滲 流閾值[2-4]。滲流閾值是指高導熱性填料形成至少一條通過該材料 的連續通路的值。在閾值時,熱導率顯著增加;(c)確保原材料 的替換不會明顯改變涂料的其他性能。


文獻收集的實驗數據顯示:(a)與金屬(如鋁,0.07 ~ 0.09) 相比,涂料中的輻射系數本身就已經很高,約為0.85 ~ 0.95 ;(b) 顏色對輻射系數的變化幾乎無影響。這表明顏料對涂料總輻射系 數的作用較小或顏料的輻射系數同熱輻射非常類似。同時,輻射 系數似乎隨表面粗糙度的變化而變化。
優化對流
正是由于固體/流體界面上存在層流邊界層,使熱阻變得較 大。流體紊流越大,邊界層越薄,散熱性就越好。然而,文獻中 沒有任何證據證明涂料可以顯著改變對流熱通量(特別是強制對 流時)。
將上述理論應用于LED照明
在LED照明系統中[5-6],散熱器的整體熱性能導致Re 1 << Re 2,因 此Re T≅ Re 1 (見圖7)。因此,假設采用無涂層的散熱器,可得到以 下公式(見圖7a):
式中,下標HS表示"散熱器",RP表示燈的不同內部組件的 總阻值(這是涂料制造商無法控制的)。RT HS是散熱器的總熱阻。 總熱阻僅隨RH c S d 、RH c S v和RH r S d (分別指傳導、對流和輻射熱阻值)的變 化而變化。

涂料層如何影響熱阻
在散熱器表面增加一層涂層時,系統總熱阻的公式變成(見 圖7b):

下標C1表示"涂料1"。這里,假設(a)涂料并未顯著改變 對流系數,即,
;(b)散熱器/空氣與涂料/空氣界面 的表面積相同。
表示有涂層散熱器照明系統與無涂層散熱器照明系統之間 的工作溫度變化
為負值時,表示TO下降。將方程式6、7、8結 合起來,就可以得到:



檢查方程式(9)以及圖8中顯示的K1和K2的變化情況后,可發 現以下規律:
> 由于K 1總為正數,所以熱傳導過程使TO增大。涂料的熱傳導 性越高,工作溫度的上升幅度就越小。
> 當K 2>K 1,即h r C1> h r HS時,工作溫度降低。
> 在標準涂膜厚度范圍內,即40≤ZC1≤70 μm,與K 2相比,K 1 非常小,且與λ C1值無關。 >
強制對流時,輻射過程對降低工作溫度的作用變小,即當 h c>> (h r HS– h r C1)時,K 2會降低(與h r C1值無關)。
當裝置的散熱器上涂上散熱涂料,且采用自然對流時,工作 溫度降低的主要原因是熱輻射性能的增強。
由于涂層較薄,熱傳導過程的影響相對來說不大。
因此,電子裝置制造商應對標準涂料和散熱涂料的性能進行 評估,以確定改變涂料配方所花費的額外成本完全合理。
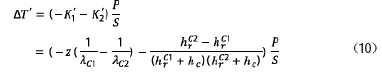
特別設計的散熱涂料的效果
表示散熱器上涂有散熱涂料(下標C2)和標準涂料(下 標C1)的兩種照明系統之間的工作溫度變化情況。假設λC2> λC1, 且兩種系統對流性能相似,即h c C2≅h c C1= h c。將這兩種涂料的方程式 (5)和方程式(7)結合起來,就可得到:

用HS代替C1(作為新的參照體系),C1代替C2(作為研究系 統),顯然可得出K 2´ = K 2。
檢查方程式10后,發現K 1完全為正數;因此,理論上,與λC1 相比,λC2越大,工作溫度下降幅度越大。


圖8中顯示了K 1隨涂層膜厚變化的示例??梢钥闯?,因為兩種 涂料的輻射率更為相似,所以與前一種情況相比,傳導過程的優 化更具實際價值。
然而,在選擇更適當的涂料配方之前,必須考慮的兩大關鍵 參數仍然是涂膜的厚度及對流過程的性質。圖8中K 2的變化情況表 明:在強制對流的情況下,優化輻射率的效果不大。
參考文獻
[1] Tritt T. M. (Ed.), Thermal Conductivity: Theory, Properties, and Applications, Springer USA, 2004.
[2] Tian W., Yang R., Phonon transport and thermal conductivity percolation in random nanoparticle composites, CMES, 2008, Vol. 24, No. 2, pp123- 141.
[3] Ye P. et al., Electrical and thermal conductivity of polymers filled with metal powders, Europ. Polym. Jnl., 2002, Vol. 38, pp 1887–1897.
[4] Daisuke Y., Shinji A., Enhanced thermal conductivity over percolation threshold in polyimide blend films containing ZnO nano-pyramidal particles: advantage of vertical double percolation structure, Jnl. Mater.Chem., 2011, Vol. 21, pp 4402–4407.
[5] LED Lighting: A case study in thermal management, Qpedia, 2009, Vol. 8 September.
[6] Stappers L., Yuan Y., Fransaer J., Novel composite coatings for heat sink applications, Jnl. Electrochem. Soc., 2005, Vol. 152, No. 7, pp.457-461
